PLUS FREE Shipping on All Orders ship within Peninsular Malaysia! Shop Now!
  • Log in
  • OR
  • Sign-up
Cart 0

DiSCOL Malaysia 

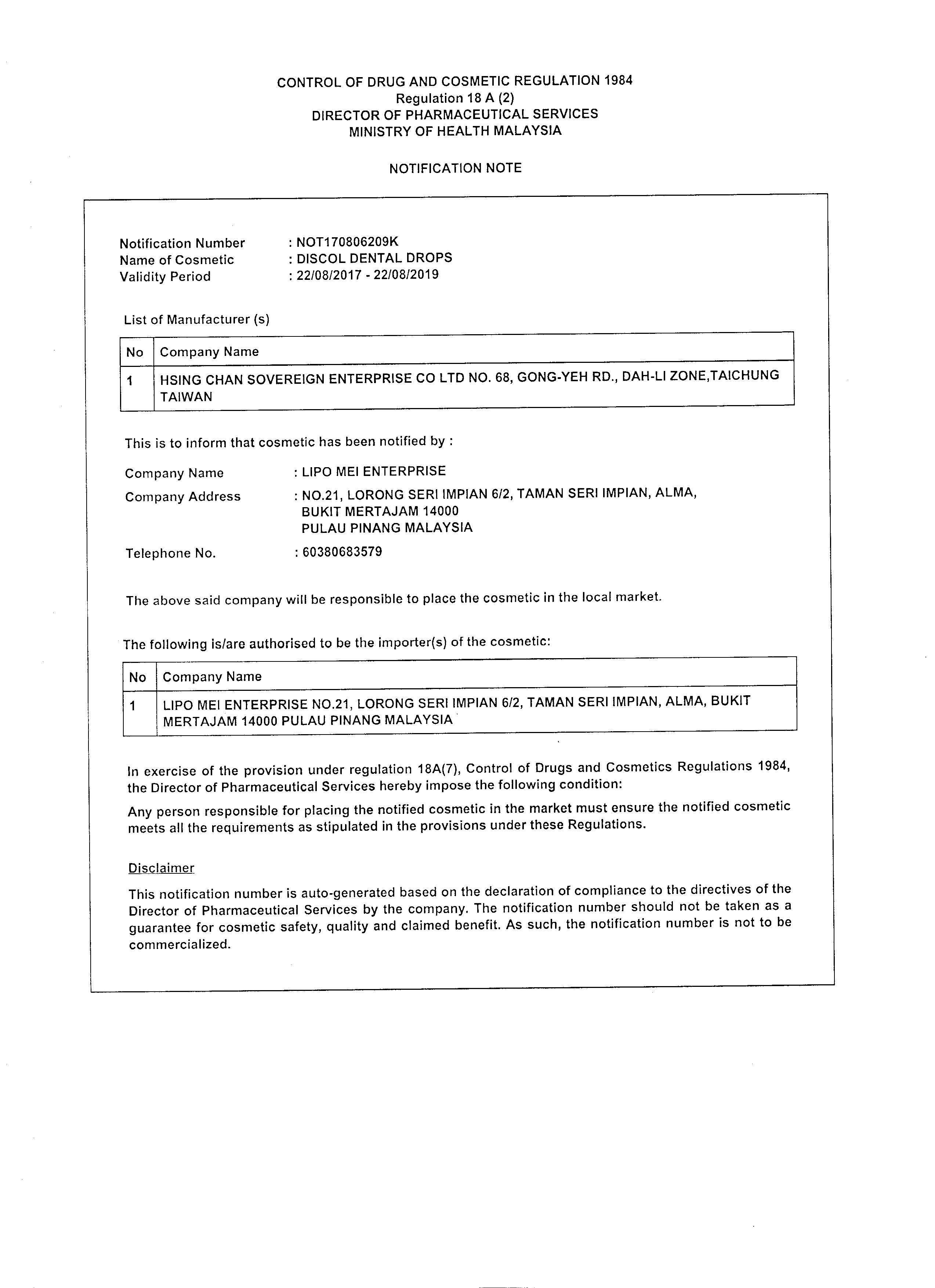
Health Certificate from Ministry Of Health


View PDF Version

DiscolMalaysia-Moh-Certificate.pdf